当前位置:

京东健康

一项队列研究:COVID-19与季节性流感住院患者的长期预后对比

一项队列研究:COVID-19与季节性流感住院患者的长期预后对比

以下内容来源于:The Lancet 。

Summary

Background Previous comparative analyses of people admitted to hospital for COVID-19 versus influenza evaluated the risk of death, hospital readmission, and a narrow set of health outcomes up to 6 months following infection. We aimed to do a comparative evaluation of both acute and long-term risks and burdens of a comprehensive set of health outcomes following hospital admission for COVID-19 or seasonal influenza.

Methods

For this cohort study we used the health-care databases of the US Department of Veterans Affairs to analyse data from 81280 participants admitted to hospital for COVID-19 between March 1, 2020, and June 30, 2022, and 10 985 participants admitted to hospital for seasonal influenza between Oct 1, 2015, and Feb 28, 2019. Participants were followed up for up to 18 months to comparatively evaluate risks and burdens of death, a prespecified set of 94 individual health outcomes, ten organ systems, overall burden across all organ systems, readmission, and admission to intensive care. Inverse probability weighting was used to balance the baseline characteristics. Cox and Poisson models were used to generate estimates of risk on both the relative scale and absolute scale as the event rate and disability-adjusted life-years (DALYs) per 100 persons.

Findings

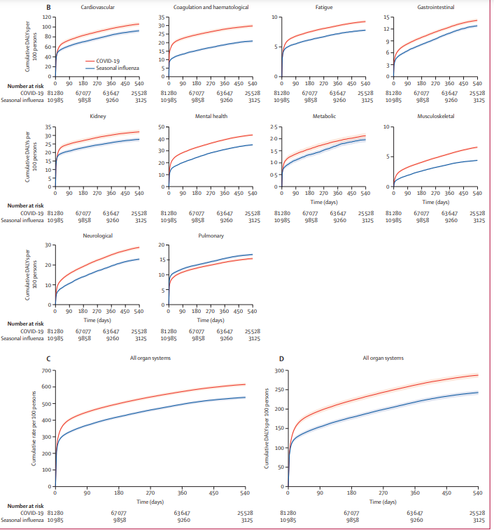
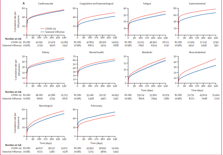
Over 18 months of follow-up, compared to seasonal influenza, the COVID-19 group had an increased risk of death (hazard ratio [HR] 1·51 [95% CI 1·45–1·58]), corresponding to an excess death rate of 8·62 (95% CI 7·55–9·44) per 100 persons in the COVID-19 group versus the influenza group. Comparative analyses of 94 prespecified health outcomes showed that COVID-19 had an increased risk of 68·1% (64 of 94) pre-specified health outcomes; seasonal influenza was associated with an increased risk of 6·4% (six of 94) pre-specified health outcomes, including three out of four pre-specified pulmonary outcomes. Analyses of organ systems showed that COVID-19 had a higher risk across all organ systems except for the pulmonary system, the risk of which was higher in seasonal influenza. The cumulative rates of adverse health outcomes across all organ systems were 615·18 (95% CI 605·17–624·88) per 100 persons in COVID-19 and 536·90 (527·38–544·90) per 100 persons in seasonal influenza, corresponding to an excess rate of 78·72 (95% CI 66·15–91·24) per 100 persons in COVID-19. The total number of DALYs across all organ systems were 287·43 (95% CI 281·10–293·59) per 100 persons in the COVID-19 group and 242·66 (236·75, 247·67) per 100 persons in the seasonal influenza group, corresponding to 45·03 (95% CI 37·15–52·90) higher DALYs per 100 persons in COVID-19. Decomposition analyses showed that in both COVID-19 and seasonal influenza, there was a higher burden of health loss in the post-acute than the acute phase; and comparatively, except for the pulmonary system, COVID-19 had a higher burden of health loss across all other organ systems than seasonal influenza in both the acute and post-acute phase. Compared to seasonal influenza, COVID-19 also had an increased risk of hospital readmission (excess rate 20·50 [95% CI 16·10–24·86] per 100 persons) and admission to intensive care (excess rate 9·23 [6·68–11·82] per 100 persons). The findings were consistent in analyses comparatively evaluating risks in seasonal influenza versus COVID-19 by individuals’ respective vaccination status and in those admitted to hospital during the pre-delta, delta, and omicron eras. 

Interpretation

Although rates of death and adverse health outcomes following hospital admission for either seasonal influenza or COVID-19 are high, this comparative analysis shows that hospital admission for COVID-19 was associated with higher long-term risks of death and adverse health outcomes in nearly every organ system (except for the pulmonary system) and significant cumulative excess DALYs than hospital admission for seasonal influenza. The substantial cumulative burden of health loss in both groups calls for greater prevention of hospital admission for these two viruses and for greater attention to the care needs of people with long-term health effects due to either seasonal influenza or SARS-CoV-2 infection.

Research in context

Evidence before this study We searched PubMed for studies published between Dec 12, 2019, and Sept 10, 2023, using the search terms “COVID-19” and “SARS-CoV-2” in combination with the search terms “seasonal influenza”, “flu”, OR “influenza”, with no language restrictions. Comparative studies of people admitted to hospital for COVID-19 versus influenza evaluated the risk of death, hospital readmission, and a narrow set of health outcomes up to 6 months following SARS-CoV-2 infection. These studies showed that, despite some decline during the course of the pandemic, COVID-19 was still associated with a higher risk of death and hospital readmission at 6 months than seasonal influenza. However, a comparative evaluation of both acute and long-term risks and burdens of death, a comprehensive set of health outcomes, and health-care utilisation (eg, hospital readmission) following hospital admission for COVID-19 or seasonal influenza has not been done.

Added value of this study

The findings of this cohort study show that the cumulative rates of death, adverse health outcomes, and health-care utilisation were high in both those admitted to hospital for COVID-19 and those admitted to hospital for seasonal influenza, but the risks and burdens were comparatively higher in people admitted to hospital for COVID-19. Risks were higher in COVID-19 for all organ systems except for the pulmonary system, the risk of which was higher in seasonal influenza in both the acute and post-acute phase of the infection, suggesting the possibility that seasonal influenza might have a higher affinity to affect the pulmonary system than SARS-CoV-2 infection and that SARS-CoV-2 infection manifests more systemically than seasonal influenza. Although COVID-19 had a comparatively higher burden of health loss than seasonal influenza in both the acute and post-acute phase, both COVID-19 and seasonal influenza had a higher burden of health loss in the post-acute phase of infection compared to their respective acute phases, suggesting that hospital admission for either COVID-19 or seasonal influenza has a greater long-term impact on health than the immediately manifested health effects during the acute phase.

Implications of all the available evidence

The findings illustrate the high toll of death and health loss following hospital admission for either seasonal influenza or COVID-19. The risks and burdens of death, health loss, and health-care utilisation are substantially higher for COVID-19 than for seasonal influenza. Our evaluation of health loss by organ systems showed some differentiating features, in that seasonal influenza had a higher risk of pulmonary system involvement, whereas COVID-19 was a multisystemic disease showing higher risks in all other organ systems. Hospital admission for both COVID-19 and seasonal influenza generated a higher burden of health loss in the post-acute phase, suggesting that conceptualisation of these infections solely as acute illnesses will overlook their larger post-acute health effects and underestimate their cumulative burden on human health. The substantial cumulative burden of health loss in both groups highlights the need for greater prevention of hospital admission for these two viruses and for greater attention towards the care needs of people with long-term health effects due to either seasonal influenza or SARS-CoV-2 infection.

Comparative analyses of COVID-19 and influenza are useful because they juxtapose the relatively new COVID-19 and a respiratory viral illness that has been known for at least a century—allowing a better understanding of the similarities and differences between the acute and post-acute health trajectories of people infected with these two viruses.
We aimed to examine acute and long-term risks and burdens of death, health-care utilisation, and a comprehensive array of 94 health outcomes over an 18-month period in people admitted to hospital with COVID-9 and those admitted to hospital with seasonal influenza.

Methods

Study design and setting

This cohort study was conducted with the health-care databases of the US Department of Veterans Affairs (VA). The VA operates the largest integrated health-care system in the USA and provides health-care services to veterans of the US Armed Forces. The services included preventative and health maintenance, outpatient care, inpatient hospital care, prescriptions, mental health care, home health care, primary care, specialty care, geriatric and extended care, medical equipment, and prosthetics. The VA operates 1323 VA health-care facilities, which include 173 VA medical centres and 1137 outpatient sites.

Data sources

We used the health-care databases of the VA, which include information collected during patients' routine health-care encounters. Data were obtained from VA Corporate Data Warehouse (CDW), which collected and managed electronic health records from all VA health-care facilities. Data domains included outpatient, inpatient, pharmacy, laboratory, health factors, VA COVID-19 Shared Data Resource, and vital status. The Area Deprivation Index (ADI)—a composite measure of income, education, employment, and housing—was obtained from the Neighborhood Atlas and used as a summary measure of contextual disadvantage at participants' residential locations. 5 All data were accessed through the VA Informatics and Computing Infrastructure.

Cohort

The cohort flow of the study is presented in appendix 1 (p 2). 573 612 participants who had a positive SARS-CoV-2 test result between March 1, 2020, and June 30, 2022, were included in the COVID-19 group. We then selected those admitted to hospital with an admission diagnosis for COVID-19 within 5 days before or within 30 days after the positive test results (n=82 188). Because hospital admission for seasonal influenza was rare in the USA during the COVID-19 group enrolment period, we enrolled a historical seasonal influenza group; 50 509 participants who had a positive influenza test result between Oct 1, 2015, and Feb 28, 2019, were included in the seasonal influenza group. We then selected those admitted to hospital with an admission diagnosis for seasonal influenza within 5 days before or within 30 days after the positive test results (n=11 893). After removing 908 participants who were included in both the COVID-19 and seasonal influenza groups, the final cohort comprised 81 280 participants in the COVID-19 group and 10 985 participants in the seasonal influenza group. Within the seasonal influenza group, 8360 (76·1%) of 10 985 participants had influenza type A and 2625 (23·9%) had other types of influenza. The date of hospital admission was defined as T0. The last date of follow-up for the COVID-19 group was set to be the first occurrence of 540 days after T0 or July 20, 2023. The last date of follow-up for the seasonal influenza group was set to be the first occurrence of 540 days after T0 or Feb 29, 2020.
For additional comparisons between different eras of the pandemic and seasonal influenza, the COVID-19 groups were further separated into three groups (pre-delta, delta, and omicron) based on the predominant SARS-CoV-2 variant at the date of infection according to the US Centers for Disease Control and Prevention (CDC). 6 There were 40 481 participants in the COVID-19 group who had a positive SARS-CoV-2 test before June 19, 2021, and were thus defined as the pre-delta group; 18 106 participants had a positive test between June 20, 2021, and Dec 18, 2021, and were thus defined as the delta group; and 22 693 participants had a positive test between Dec 19, 2021, and June 30, 2022, and were thus defined as the omicron group. To facilitate comparisons based on similar follow-up time across groups, we randomly assigned potential follow-up times to participants not in the omicron group based on values drawn from the follow-up distribution in the omicron group (the group with shortest potential follow-up time). Administrative censoring of the seasonal influenza, pre-delta, and delta groups based on the follow-up distribution of the omicron group resulted in a similar follow-up distribution across groups. After the application of administrative censoring, 100% of participants had at least 360 days of potential follow-up; 4620 (42·06%) of 10 985 participants in the seasonal influenza group, 17 027 (42·06%) of 40 481 in the pre-delta group, 7616 (42·06%) of 18 106 in the delta group, and 9545 (42·06%) of 22 693 in the omicron group had 540 days of follow-up.

Outcomes

A list of 94 pre-specified health outcomes that could be associated with COVID-19 or seasonal influenza were defined on the basis of the International Classification of Diseases 10th Revision (ICD-10) diagnosis codes, laboratory values, and prescription records. 1,4,7–11 Outcomes were also composited into ten organ systems: cardiovascular, coagulation and haematological, fatigue, gastrointestinal, kidney, mental health, metabolic, musculoskeletal, neurological, and pulmonary. Incident outcomes were defined as the first occurrence of outcomes during follow-up that was not present before T0. A composite of adverse health outcomes across all organ systems was further defined as the number of incident organ systems affected. Outcomes were ascertained from T0 until end of follow-up. To evaluate outcomes during the post-acute phase of infection, we separately ascertained outcomes from 30 days after T0 until the end of follow-up. For the composite outcomes and to account for both the occurrence of individual outcomes and the influence of each outcome on overall health, we used the Global Burden of Disease Study (GBD) methodologies to estimate disability-adjusted life-years (DALYs) for the composite outcomes (in each organ system and across all organ systems). 7,12–14 For each composite outcome, DALYs were computed as the summation of the DALYs of all individual outcomes under the composite outcome (the product of the occurrence of the outcome and its associated health burden coefficient). 7,12–14 We also examined death (all-cause mortality) since hospital admission and health-care resource utilisation, including number of hospital readmissions and ICU admission after the index hospitalisation.

Covariates

Covariates were defined on the basis of previous knowledge and following directed acyclic graph (appendix 1 p 3). 1,8–11,15–17 Baseline covariates were collected from 1 year before T0 until T0. Demographic variables including age, race (White, Black, and other), self-reported sex, area deprivation index based on residential address, smoking status (current, former, and never) and use of long-term care were used. We also selected laboratory and vital measurements including estimated glomerular filtration rate (eGFR), systolic and diastolic blood pressure and BMI; and diseases including cancer, cardiovascular disease, chronic lung disease, coronary artery disease, dementia, diabetes, hyperlipidaemia, HIV, immune dysfunction, liver diseases, and peripheral artery diseases. We selected the number of outpatient visits and hospital admissions, number of blood panel tests, number of medications received, and number of Medicare outpatient visits and hospital admissions to represent potential differences in health-care resource utilisation between the COVID-19 and the seasonal influenza groups. We also standardised vaccination rates in the COVID-19 group to the rate during the delta and omicron eras in the cohort. In this study, 4·32% of data on eGFR, 4·01% of data on BMI, and 0·06% of data on blood pressure were missing and imputed with multivariate imputation by chained equations and the predictive mean matching method conditional on all covariates. Continuous variables were transformed into restricted cubic spline functions to account for potential non-linear relationships, where four knots were placed at 5th, 35th, 65th, and 95th precentiles. 18

Statistical analysis

We performed power analyses using 1000 simulations based on the parameters from the study cohort and power was defined by the proportion of simulations with a 95% CI of the hazard ratio that did not include 1. We varied the event rate from 1% to 20% and the strength of confounding based on C-statistics from 0·5 to 0·8. Given the study sample size, and under the setting of strong confounding, we observed a power of 99% to detect a hazard ratio (HR) of 0·70, a power of 91% to detect a HR of 0·80, and a power of 72% to detect a HR of 0·90, in a scenario where the event rate was 1%; and a power of 99% to detect a HR of 0·70, a power of 99% to detect a HR of 0·80, and a power of 99% to detect a HR of 0·90 in a scenario where the event rate was 20%.
Baseline characteristics of the COVID-19 and seasonal influenza groups were reported. Distributions of continuous variables were reported as means and SDs and categorical variables were described as frequencies and percentages. Differences of baseline characteristics between groups were measured with absolute standardised differences, where a value of less than 0·1 was considered evidence of good balance.
Inverse probability weighting based on propensity score was used to balance baseline differences between the COVID-19 and seasonal influenza groups. Logistic regression was applied to estimate the probability of being assigned to the seasonal influenza group (the propensity score), given all covariates previously described. In order to provide a comparative risk assessment based on the same underlying risk, the common reference group of seasonal influenza was selected as the target population. The inverse probability weight was computed as the propensity score divided by (1–propensity score) for the COVID-19 group and was defined as 1 for the seasonal influenza group. HRs of the occurrence of incident outcomes were estimated on the basis of the weighted Cox survival model, where death was considered as competing risk and cause-specific hazards were estimated for non-death outcomes. The estimated rate in each group and the difference between groups were generated on the basis of estimated survival probability. The relative and absolute risk of overall disease, DALYs, and health-care utilisation were estimated on the basis of weighted Poisson regression where the sums of the events during follow-up were set to be the dependent variables and follow-up times were set to be the offsets in the model. The cumulative difference between COVID-19 and seasonal influenza from T0 until 30, 180, 360, and 540 days was estimated.
To examine the distributional contribution of acute and post-acute disease to the overall burden of disease after infection, we first examined the risk and risk difference between COVID-19 and seasonal influenza during the post-acute phase based on outcomes ascertained 30 days after T0. We then evaluated the proportion of risk from the acute phase (0–30 days) and post-acute phase within the COVID-19 and seasonal influenza groups, as well as the difference between the two groups across each organ system and across all organ systems.
We then evaluated the comparative risks and burdens of death, organ system involvement, and health-care utilisation between those admitted to hospital for seasonal influenza and those admitted to hospital for COVID-19 during the pre-delta, delta, and omicron periods according to the CDC. 6 Propensity scores and inverse probability weights for each group were computed and applied.
To examine the influence of previous vaccination on the comparative risk between COVID-19 and seasonal influenza, we further separated COVID-19 groups on the basis of their COVID-19 vaccination status and the seasonal influenza group on the basis of their seasonal influenza vaccination status. Comparisons were conducted for unvaccinated individuals with COVID-19 compared to unvaccinated, and separately, vaccinated individuals with seasonal influenza, and for vaccinated individuals with COVID-19 compared to unvaccinated and vaccinated individuals with seasonal influenza. Propensity scores and inverse probability weights for each group were computed and applied.
Multiple sensitivity analyses were conducted to test the robustness of the findings. First, because differences in screening practices for these infections during admission might have resulted in misspecification of exposure, we varied our definition of exposure by including those admitted to hospital within 5 days before or after SARS-CoV-2 or seasonal influenza infection, and separately, included those admitted to hospital within 5 days after the infection, compared to the main approach where we included those admitted to hospital within 5 days before or 30 days after the infection. Second, we adjusted for ICU admission during the first hospital admission, compared to the main approach where no adjustments were made for variables after T0. Third, we adjusted for the seasonal influenza vaccine in both groups, compared to the main approach in which it was not a covariate in the model. Fourth, we applied a doubly robust method that conducted adjustment in both the exposure model and outcome model to adjust for differences between groups, 19 compared to the main approach where only inverse probability weight was used in the outcome model. Fifth, we used the overlap weighting approach to balance baseline characteristics and estimated the average treatment effect for the overlap population, compared to the main approach that used the inverse probability of treatment weighting. 20 Sixth, we estimated risk based on weighed Kaplan-Meier estimator, compared to the main approach that was based on the Cox model. Seventh, we censored participants at their date of reinfection and applied the inverse probability of censoring weight to account for informative censoring, compared to the main approach that continued following them up after reinfection. Finally, we compared COVID-19 with seasonal influenza A and, separately, with all other (non-A) seasonal influenza viruses, compared to the main approach that evaluated COVID-19 versus all seasonal influenza.
For all analyses, 95% CIs were estimated on the basis of the 2·5th and 97·5th percentile of 1000 times parametric bootstrapping. A risk on the relative scale with a 95% CI that does not cross 1 and a rate difference with a 95% CI that does not cross 0 were considered statistically significant. Analyses were done with SAS Enterprise Guide (version 8.3) and data visualisations were done in R (version 4.3.0). The study was approved, and a waiver of informed consent was granted, by the Institutional Review Board of St Louis Health Care System, US Department of Veteran Affairs.

Role of the funding source

The sponsor of the study had no role in study design, data collection, data analysis, data interpretation, or writing of the report.

Results

There were 81 280 people in the COVID-19 cohort and 10 985 people in the seasonal influenza cohort. The COVID-19 cohort had a median follow-up of 1·46 (IQR 1·26–1·51) years and the seasonal influenza cohort had a median follow-up of 1·46 (1·18–1·53) years, altogether corresponding to 127 640 person-years of follow up. The demographic and health characteristics of the two groups before weighting are presented in appendix 2 (supplementary table 1) and those after weighting are summarised in the table. The distribution of the propensity score before and after weighting is presented in appendix 1 (p 4). After inverse probability weighting, all baseline characteristics had an SMD less than 0·1, suggested good balance was achieved.
Table
Demographic and health characteristics of the overall, COVID-19, and seasonal influenza groups after weighting
Data are n (%), mean (SD), or median (IQR). eGFR=estimated glomerular filtration rate. SMD=absolute standardised mean difference. An SMD of less than 0·1 was considered evidence of good balance.
*
Area Deprivation Index is a measure of socioeconomic disadvantage, with a range from low to high disadvantage of 0 to 100.
We examined the COVID-19 and seasonal influenza cohorts to comparatively evaluate the risks and burdens of death, 94 individual health outcomes, ten organ systems aggregated from individual health outcomes, a composite of adverse health outcomes across all ten organ systems, and readmission and admission to intensive care. Risks were estimated on both the relative scale as HRs or relative risks, and on the absolute scale as rates and DALYs per 100 persons in several time periods, including 0–30 days, 0–180 days, 0–360 days, and 0–540 days, where time zero was designated as the date of hospital admission.
The absolute death rate was higher in the COVID-19 group than in the influenza group in each time period (0–30 days, 0–180 days, 0–360 days, and 0–540 days); the cumulative death rates at 540 days were 28·46 (95% CI 28·14–28·78) per 100 persons for COVID-19 and 19·84 (19·07–20·59) per 100 persons for seasonal influenza; the excess death rate in the COVID-19 versus influenza group was 8·62 (95% CI 7·55–9·44) per 100 persons. Compared to the seasonal influenza group, the COVID-19 group had an increased risk of death in all time periods: 0–30 days (HR 2·51; 95% CI 2·28–2·78), 0–180 days (1·86; 1·75–1·98), 0–360 days (1·61; 1·54–1·69), and 0–540 days (1·51; 1·45–1·58; figure 1appendix 2 supplementary table 2). We also examined the risk of death within non-overlapping time periods during follow-up (0–30 days, 31–180 days, 181–360 days, and 361–540 days); COVID-19 was associated with a higher risk of death within all these time periods (appendix 2 supplementary table 3).
 
 
京东健康出品,未经授权,不得二次转载。授权及合作事宜请联系jdh-hezuo@jd.com
本站内容仅供医学知识科普使用,任何关于疾病、用药建议都不能替代执业医师当面诊断,请谨慎参阅。

有疑问?在线咨询专业医生

获得专业医疗建议,无需等待预约

1.5亿+
累计服务患者
99%
患者满意度
30秒
平均响应时间

文章 神经元FAM171A2介导α-突触核蛋白纤维摄取并驱动帕金森病

以下内容来源于Science。 Editor’s summary One of the major causes of neurodegeneration in patients with Parkinson’s disease (PD) is the intracellular accumulation of α-synuclein in neurons. Wu et al. investigated the mechanisms mediating the uptake of α-synuclein in neurons using in vitro and in vivo models. The product of the recently identified PD-risk gene FAM171A2 was found to be the neuronal receptor for α-synuclein fibrils, mediating their internalization through endocytosis. In silico screening identified an approved drug, bemcentinib, that is able to inhibit α-synuclein internalization in vitro and in vivo by blocking its binding to FAM171A2. The results provide insights into PD pathogenesis and identify a potential therapeutic target. —Mattia Maroso. Abstract Neuronal accumulation and spread of pathological α-synuclein (α-syn) fibrils are key events in Parkinson's disease (PD) pathophysiology. However, the neuronal mechanisms underlying the uptake of α-syn fibrils remain unclear. In this work, we identified FAM171A2 as a PD risk gene that affects α-syn aggregation. Overexpressing FAM171A2 promotes α-syn fibril endocytosis and exacerbates the spread and neurotoxicity of α-syn pathology. Neuronal-specific knockdown of FAM171A2 expression shows protective effects. Mechanistically, the FAM171A2 extracellular domain 1 interacts with the α-syn C terminus through electrostatic forces, with >1000 times more selective for fibrils. Furthermore, we identified bemcentinib as an effective blocker of FAM171A2–α-syn fibril interaction with an in vitro binding assay, in cellular models, and in mice. Our findings identified FAM171A2 as a potential receptor for the neuronal uptake of α-syn fibrils and, thus, as a therapeutic target against PD.

测试京东医生

主任医师

京东互联网医院

446 人阅读
查看详情

文章 诱导化疗后小范围放疗对比常规范围放疗治疗鼻咽癌:一项开放标签、非劣效性、多中心、随机3期临床试验

Abstract Background Nearly 90% locoregionally advanced nasopharyngeal carcinoma (LANPC) responds to induction chemotherapy (IC) with significant tumor volume shrinkage. Radiotherapy always follows IC, and reduced volume has been proposed. However, the efficacy and safety of reduced-volume radiotherapy is uncertain. Methods In this multi-center, noninferiority, randomized, controlled trial, patients with LANPC who completed IC were randomly assigned (1:1) to receive reduced-volume radiotherapy based on post-IC tumor volume (Post-IC group) or conventional volume radiotherapy based on pre-IC tumor volume (Pre-IC group). The primary endpoint was locoregional relapse-free survival, with a noninferiority margin of 8%. Secondary endpoints comprised adverse events, and quality of life (QoL). Results Between August 7, 2020, and May 27, 2022, 445 patients were randomly assigned to Post-IC (n = 225) or Pre-IC (n = 220) groups. The average volume receiving radical dose was 66.6 cm3 in Post-IC group versus 80.9 cm3. After a median follow-up of 40.4 months, the 3-year locoregional relapse-free survival was 91.5% in the Post-IC group versus 91.2%, with a difference of 0.3% (95% confidence interval −4.9% to 5.5%). The incidence of grade 3-4 radiation-related toxicity was lower in the Post-IC group including: acute mucositis (19.8% vs 34.1%), late otitis media (9.5% vs 20.9%) and late dry month (3.6% vs 9.5%). The Post-IC group had better QoL for global health status, physical functioning, emotional functioning, dry mouth and sticky saliva. Conclusions In this trial, reduced-volume radiotherapy was noninferior to conventional volume radiotherapy in locoregional relapse-free survival, and was associated with lower toxicities and improved QoL. (ClinicalTrials.gov identifier NCT04384627). INTRODUCTION Induction chemotherapy (IC) followed by concurrent chemoradiotherapy is the standard of care for locoregionally advanced nasopharyngeal carcinoma. Nearly 90% patients respond, with an average tumor volume shrinkage from 20.1% to 54.7%. For decades, full radical dose coverage, calculated based on the pre-IC tumor volume, has been recommended, regardless of the response to IC and concurrent chemoradiotherapy.This results in high-dose exposure to the surrounding functional structures, represented by the inner ear, parotid gland and temporal lobe, resulting in high proportions of hearing impairment (72%),dry mouth (57%),and temporal lobe injury (12%)and reducing patients' quality of life (QoL) far beyond the end of treatment. Reduced-volume radiotherapy with a full dose only to the residual tumors after the completion of IC may achieve comparable outcomes with less associated toxicities. Properly designed trials regarding the safety of reduced-volume radiotherapy and its benefit to QoL are needed. Therefore, we designed this multicenter, phase 3 trial to test the hypothesis that reduced-volume radiotherapy based on post-IC tumor volume (the post-IC group) would be noninferior to conventional-volume radiotherapy based on pre-IC tumor volume (the pre-IC group) in patients with locoregional, advanced nasopharyngeal carcinoma who receive IC. MATERIALS AND METHODS Trial design and participants This multicenter, noninferiority, open-label, phase 3, randomized controlled trial was conducted in three Chinese medical centers (see Supporting Information Supporting Methods, p 13). The key eligibility criteria comprised patients who had: newly diagnosed, histologically confirmed, nonkeratinizing nasopharyngeal carcinoma, stage III–IVA disease (according to the 8th edition American Joint Committee on Cancer/Union for International Cancer Control staging system); aged 18–70 years; a Karnofsky performance status score ≥70; and adequate hematologic function. Patients had to be treatment-naive, and all patients were required to have completed three cycles of IC with gemcitabine plus cisplatin before enrolment. The key exclusion criteria included: tumor progression after IC; previous receipt of chemotherapy, radiotherapy, or surgery (except diagnostic) to the nasopharynx or neck; a history of cancer; lactation or pregnancy; severe coexisting illness; or requiring palliative treatment. The trial protocol was approved by the institutional ethics committee at each participating center. All participants provided written informed consent. Patient consent could be withdrawn post-enrolment at any time for any reason. Comprehensive details of the trial are provided in the protocol (see Supporting Information : Supporting Materials). Randomization and masking Eligible patients were randomly assigned to receive reduced-volume radiotherapy (in the post-IC group) or conventional-volume radiotherapy (in the pre-IC group), at a 1:1 ratio in blocks of four and stratified by trial center and disease stage (III or IVA). Centralized randomization was performed at the Clinical Trials Center of Sun Yat-sen University Cancer Center (Guangzhou, China). Random assignment was generated by using a computerized, randomized list generator. Treatment group assignment was not masked to the patients or physician, although it was masked to the Central Imaging Review Committee (CIRC) and the statisticians. The block structure was known only to the statistician and the study coordinator, who were not involved clinically in the trial. Rigorous quality-control measures were implemented to ensure the scientific integrity of the trial (see Supporting Information Supporting Methods, p. 11–12). Procedures Intensity-modulated radiotherapy was required for all patients. The definition of radiotherapy target volumes was done according to the International Commission on Radiation Units and Measurements (ICRU) reports 50 and 62.The gross tumor volume (GTV) contained the primary tumor (GTVnx) and the involved cervical lymph nodes (GTVnd) that would receive the full prescribed radical dose of irradiation and was delineated according to the allocation group. In the post-IC group, the GTVnx was delineated based on post-IC magnetic resonance imaging (MRI), which included only the residual soft tissue mass of the nasopharynx for patients without initial bony structural invasion. However, in patients with initial bony structural invasion, the involved bony structures were delineated based on pre-IC imaging to ensure that all initial disease within the bone was encompassed regardless of signal changes after induction, although the soft tissue component of the GTVnx was still delineated based on postinduction MRI. The GTVnd was delineated based on post-IC imaging. In patients without bone invasion, if no tumor signal was detected after induction, as confirmed by the CIRC, the GTVnx would not be delineated for the post-IC group. The GTVnd would not be delineated for any lymph node with complete resolution on the post-IC MRI for the post-IC group. Instead, the high-risk clinical target volume (CTV) covered the originally involved fat space. In the pre-IC group, the GTV would be delineated based on pre-IC MRI and should include all structures that tumor involved before IC, even if they are no longer grossly involved. And pre-treatment 18F-fluorodeoxyglucose examination was also used for delineation when available. Detailed delineation methods, including skull base invasion, paranasal sinus invasion, parapharyngeal muscle invasion, etc., are shown in Figures The high-risk CTV was defined as the GTVnx plus a margin of 5–10 mm (2–3 mm posteriorly if adjacent to the brainstem or spinal cord) and the GTVnd plus a margin of 3–5 mm. In addition, in the post-IC group, the volume should encompass all tumor volume before IC. The low-risk CTV was defined as the high-risk CTV plus a margin of 5–10 mm (2–3 mm posteriorly if adjacent to the brainstem or spinal cord). The planning target volume was defined as the GTV or CTV plus a margin of 3–5 mm. The prescribed doses were 70 grays (Gy) to the primary tumor, 66–70 Gy to the cervical lymph nodes, 60–62 Gy to the high-risk CTV, and 54–56 Gy to the low-risk CTV in 30–33 fractions (once daily, five fractions every week). To ensure the quality of the trial, the research team at the Sun Yat-sen University Cancer Center reviewed all radiotherapy plans. During radiotherapy, two or three cycles of concurrent cisplatin were administered intravenously at a dose of 100 mg/m2 every 3 weeks. Details of the radiotherapy and chemotherapy are provided in Supporting Information: Supporting Methods (p. 3–8). In this trial, essential baseline evaluations were required within 2 weeks before IC (see Supporting Information Supporting Methods, p. 3). At day 7 after IC completion, and at week 16 after chemoradiotherapy, nasopharyngoscopy was used to assess the primary tumor. Acute toxicity was assessed using the National Cancer Institute’s Common Toxicity Criteria, version 4.0, and radiation-related late toxicities were assessed according to the Radiation Therapy Oncology Group and the European Organization for Research and Treatment of Cancer (EORTC) late-radiation morbidity scoring scheme. The EORTC Quality-of-Life Core 30-item questionnaire (QLQ-C30), version 3.0, and the Quality-of-Life Head and Neck 35-item questionnaire (QLQ-H&N35), version 1.0, were used to evaluate QoL during follow-up. Patients were followed at 3-month intervals for the first 3 years and then at 6 month intervals until death (see Supporting Information : Supporting Methods, p. 8–9). The initial radiologic examination and Epstein–Barr virus DNA test were performed 3 months after the completion of treatment. Subsequently, these tests were conducted at least once every 6 months for the next 3 years and annually thereafter. Physical examinations were scheduled every 3 months during the first 3 years and every 6 months thereafter. Whenever possible, histology was used to confirm distant or locoregional relapses. In patients for whom histologic confirmation was medically contraindicated or technically infeasible, the CIRC confirmed relapses while blinded to treatment assignment by using at least two imaging methods. For those patients who were lost to follow-up, mortality information was obtained from their death certificates. Outcomes The primary end point was locoregional relapse-free survival, defined as the time from randomization to either documented local and/or regional relapse or death from any cause (except for metastasis), whichever occurred first. Secondary end points were overall survival, distant metastasis-free survival, failure-free survival, radiation-related toxicity profile, and QoL (see Supporting Information : Supporting Methods, p. 9–10). If a patient's first relapse event was a locoregional relapse, they were censored for distant metastasis analysis, and vice versa. If both distant and locoregional relapses occurred simultaneously, patients were designated as having events for both distant metastasis-free survival and locoregional relapse-free survival analyses. Patients were censored at the last follow-up visit if they remained alive without any treatment failure or if they were lost to follow-up. Statistical analysis This trial was designed to determine whether reduced-volume radiotherapy would be noninferior in terms of 3-year locoregional relapse-free survival compared with conventional-volume radiotherapy. In both groups, locoregional relapse-free survival at 3 years was assumed to be 92% on the basis of previous data. We set the noninferiority margin at 8% based on expert consensus, institutional experience, and published studies. Consequently, to demonstrate noninferiority, the lower boundary of the 95% confidence interval (CI) for the difference in 3-year locoregional relapse-free survival rate between the two groups must not exceed −8%. With 80% power and a 5% one-sided type I error, at least 435 patients were required to allow for a 5% loss to follow-up or dropout. Efficacy analyses were performed in the intention-to-treat population and were repeated in the per-protocol population. The safety analyses were done in the safety population. All patients who started the randomly assigned treatment were included in the per-protocol and safety populations. An independent data monitoring committee was assembled in this trial and reviewed the efficacy and safety data to determine whether the trial design should be modified every 6 months. No protocol-mandated interim analysis was done in our trial for noninferiority. The Kaplan–Meier method was used to calculate time-to-event outcomes with log-rank tests for comparisons between groups. The results were stratified according to disease stage and trial center. Patients were censored at the last follow-up visit if they remained alive without any treatment failure or were lost to follow-up. A z test was used to estimate the difference in the 3-year survival rate between the two groups. The hazard ratios (HRs) and 95% CIs were calculated with a stratified Cox proportional hazards model (using treatment as a single covariate), in which the assumptions of proportional hazards were confirmed using Schoenfeld residuals. A Cox proportional hazards model further evaluated treatment-by-covariate interaction based on the intention-to-treat population to ascertain whether the treatment effect was different among the prespecified patient subgroups; interactions with age, sex, tumor categories, lymph node categories, and disease stages. A Cox proportional hazard model was also used for multivariable analyses to identify significant independent factors. We summarized acute and late toxicities according to frequency and severity. Analyses of QoL were performed in patients who were without disease relapse or metastasis in the safety population. The Supporting Information : Supporting Methods (p. 10) detail the analytical methods used for patient-reported outcomes. Post-hoc analyses of locoregional relapse-free survival were conducted between patients with or without baseline plasma Epstein–Barr virus DNA testing and between those with or without baseline 18F-fluorodeoxyglucose PET/CT examination. In addition, a post-hoc analysis also was done to test the primary hypothesis in patients who had different baseline Epstein–Barr virus DNA levels (with a cutoff of 2000 copies/mL chosen based on our previous study ). SPSS (version 27.0; IBM Corporation) or R (version 4.3.0; R Foundation for Statistical Computing) software were used for all analyses. A one-sided statistical test was used for a noninferiority test of locoregional relapse-free survival, with p values < .05 indicating statistical significance. All other statistical tests were two-sided, with the same significant p value. The key raw data underlying this study were uploaded to the Research Data Deposit public platform (RDDA2025934346). This study is registered with ClinicalTrials.gov, NCT04384627. RESULTS Participants and treatment Between August 7, 2020, and May 27, 2022, we enrolled and randomly assigned 445 patients to the post-IC group (n = 225) or the pre-IC group (n = 220; Figure ). Baseline characteristics were well balanced between the groups (Table 1). Most patients (n = 354; 80%) were treated with a volumetric-modulated arc therapy technique. All patients underwent daily guided imaging with either cone-beam computed tomography (n = 319; 72%) or kilovoltage orthogonal imaging (n = 126; 28%). The proportions of those who underwent volumetric-modulated arc therapy and an image-guided modality did not differ between the study groups (see Table ).

测试京东医生

主任医师

京东互联网医院

451 人阅读
查看详情

文章 异种移植猪肾治疗终末期肾病

以下内容来源于:NEJM。 Summary Xenotransplantation offers a potential solution to the organ shortage crisis. A 62-year-old hemodialysis-dependent man with long-standing diabetes, advanced vasculopathy, and marked dialysis-access challenges received a gene-edited porcine kidney with 69 genomic edits, including deletion of three glycan antigens, inactivation of porcine endogenous retroviruses, and insertion of seven human transgenes. The xenograft functioned immediately. The patient’s creatinine levels decreased promptly and progressively, and dialysis was no longer needed. After a T-cell–mediated rejection episode on day 8, intensified immunosuppression reversed rejection. Despite sustained kidney function, the patient died from unexpected, sudden cardiac causes on day 52; autopsy revealed severe coronary artery disease and ventricular scarring without evident xenograft rejection. (Funded by Massachusetts General Hospital and eGenesis.) Kidney transplantation has become the ideal standard of care for end-stage kidney disease, but organ shortage remains critical. One promising approach to address this critical shortage is xenotransplantation of porcine organs. Advances in CRISPR–Cas9 gene editing have enabled porcine kidney xenografts to survive for more than 2 years in nonhuman primates. We treated a 62-year-old man with long-standing diabetes and advanced vasculopathy who had lost nearly all viable hemodialysis-access options. His chance of receiving a transplant within 5 years was only 16%, with a 76% likelihood of dying or becoming too ill to receive a transplant, according to the decision-aid calculator for kidney transplantation of the Scientific Registry of Transplant Recipients. With no living donor available, we pursued a gene-edited pig kidney transplant under a single-patient, expanded-access authorization. The patient’s candidacy underwent rigorous evaluation by an independent psychiatrist, the Optimum Care Ethics Committee at Massachusetts General Hospital, and external transplant experts. After iterative protocol review by the Food and Drug Administration and final approval by the institutional review board at Massachusetts General Hospital, we transplanted a gene-edited porcine kidney with deletion of three major glycan xenoantigens (3KO), inactivation of porcine endogenous retroviruses, and insertion of seven human transgenes. Methods Pig Kidney Xenograft A Yucatan miniature pig was engineered to carry 69 genomic edits, eliminating three major glycan antigens, overexpressing seven human transgenes (TNFAIP3, HMOX1, CD47, CD46, CD55, THBD, and EPCR), and inactivating porcine endogenous retroviruses (Fig. S1 in the , available with the full text of this article at NEJM.org). Recipient Evaluation The patient was a 62-year-old man with end-stage kidney disease caused by type 2 diabetes mellitus who had exhausted nearly all viable vascular access for dialysis. His history included myocardial infarction, severe vasculopathy, heart failure, total parathyroidectomy, and receipt of a deceased-donor kidney in 2018. After having graft failure in May 2023 associated with BK virus infection and recurrent diabetic nephropathy, he returned to receiving hemodialysis. Comprehensive evaluation by the multidisciplinary team at Massachusetts General Hospital, along with ethical assessments conducted by an independent psychiatrist and ethics committee, are detailed in the and in Table S1. Transplant Procedure and Immunosuppression Protocol The transplant procedures are detailed in the and the , available at NEJM.org. The immunosuppressive regimen was based on our preclinical studies in nonhuman primates and included antithymocyte globulin (rabbit), rituximab, Fc-modified anti-CD154 monoclonal antibody (tegoprubart), and anti-C5 antibody (ravulizumab) in combination with maintenance immunosuppression with tacrolimus, mycophenolic acid, and prednisone Figure 1 Immunosuppressive Regimen and Post-Transplantation Clinical Course. Disease Surveillance, Histopathological Review, and Transcript Analysis Extensive microbiologic testing of the donor swine herd and the specific porcine donor was conducted before transplantation. Post-transplantation monitoring for both human and porcine pathogens and pathological analyses of biopsy samples are detailed in Tables S2, S3, and S4. Results Early Postoperative Period The transplantation procedure was completed with a cold ischemic time of 4 hours 38 minutes. The xenograft produced urine within 5 minutes after implantation and more than 6 liters in the first 48 hours. Thereafter, urine output stabilized at 1.5 to 2 liters per day (Fig. S2). The patient’s plasma creatinine level dropped from 11.8 to 2.2 mg per deciliter by day 6 The patient recovered from the transplantation procedure. Aside from chills and fever after the first infusion of antithymocyte globulin, he did not have overt problems with the immunosuppressive regimen. Because the patient’s T cells were sufficiently depleted after the initial dose of antithymocyte globulin (Fig. S3), a second dose was not administered. Immunosuppression with anti-CD154 monoclonal antibody resulted in serum trough levels exceeding 1000 μg per milliliter on day 0, after which levels were consistently above 800 μg per milliliter. Tacrolimus trough levels were maintained below 4 ng per milliliter during the first week after transplantation , combined with a lowered dose of 360 mg of mycophenolic acid twice daily owing to concern about overimmunosuppression with lymphocyte depletion, intensive immunosuppression, and his history of BK virus nephropathy. Xenograft Rejection Episode On day 8, the patient’s plasma creatinine level increased from 2.2 (day 7) to 2.9 mg per deciliter, accompanied by fever, allograft tenderness, and decreased urine output. An infectious disease workup was negative. Empirical therapy with glucocorticoid pulse (500 mg of methylprednisolone) and monoclonal antibody against interleukin-6 receptor (tocilizumab at a dose of 8 mg per kilogram of body weight) was initiated for suspected antibody-mediated rejection. A pretreatment, same-day biopsy confirmed acute T-cell–mediated rejection, Banff grade 2A, without evidence of thrombotic microangiopathy or antibody-mediated rejection and Table S5; ; and Fig. S4A, S4B, and S4C). Two glucocorticoid pulses (500 mg each) and antithymocyte globulin (1.5 mg per kilogram) were administered on days 9 and 10, and the doses of tacrolimus and mycophenolic acid were increased. Given the C3 deposition in the biopsy sample (Fig. S5), we administered pegcetacoplan, a targeted C3 and C3b inhibitor. Since the biopsy sample showed no evidence of antibody-mediated rejection, no additional doses of tocilizumab were administered. After these interventions, the patient’s urine output increased, and the plasma creatinine level started to decline. The patient was discharged on day 18 with a plasma creatinine level of 2.5 mg per deciliter. Figure 2 Pathological Analyses of Biopsy Samples Obtained from the Kidney Xenograft. Table 1 Banff Scores on Xenograft Biopsy Samples. On day 34, another xenograft biopsy was performed because of an increase in the creatinine level (to 2.65 from 1.9 mg per deciliter), which showed resolution of the T-cell–mediated rejection but with C3 deposition, focal interstitial fibrosis, and tubular atrophy without evidence of antibody-mediated rejection or thrombotic microangiopathy ; Fig. S4D and S4F; and Fig. S5). The plasma creatinine level decreased to 1.57 mg per deciliter with hydration on day 36. Antiporcine antibody titers remained lower than values in human serum controls (Fig. S6). No new anti-HLA antibodies were detected, and levels of preexisting anti-HLA antibodies were reduced (Fig. S7). Kidney Function, Hemodynamics, and Fluid-Electrolyte Balance Although the plasma creatinine levels occasionally fluctuated with the patient’s volume status, baseline levels ranged from 1.5 to 2.0 mg per deciliter, with an estimated glomerular filtration rate (eGFR) of 40 to 50 ml per minute per 1.73 m2 of body-surface area . The measurement of 24-hour urine creatinine clearance on days 7 and 28 after transplantation was 37 and 59 ml per minute per 1.73 m2, respectively. The mean blood pressure was 131/70 mm Hg (Fig. S8), and a loop diuretic (furosemide) was used to maintain euvolemia. The electrolyte levels remained mostly within normal limits (Figs. S9 and S10). However, the plasma total calcium level was low (Fig. S11) in association with the patient’s previous parathyroidectomy with undetectable levels of parathyroid hormone, which was managed with vitamin D and calcium supplementation. Plasma phosphate levels were elevated throughout the clinical course, necessitating the addition of phosphate binders. There was no hematuria or albuminuria, with a urine albumin-to-creatinine ratio (with both measured in grams) in the range of 0 to 0.2. Although the patient’s hemoglobin levels remained stable, erythropoietin was initiated on day 15 after transplantation because of the low reticulocyte count with appropriate iron stores. Infectious Complications On day 25, a subcutaneous wound infection led to a partial surgical opening of the incision and initiation of antibiotics (linezolid and meropenem). A retroperitoneal fluid collection, positive for Pseudomonas aeruginosa, was drained through percutaneous drain placement. The surgical incision was successfully closed on day 37. After 2 weeks of negative cultures and resolution of the fluid collection confirmed by abdominal computed tomography, the drain was removed on day 51. Cardiac Complication The patient was also evaluated in the outpatient clinic on day 51 after transplantation. He reported low fluid intake, and the plasma creatinine level of 2.7 mg per deciliter was relatively elevated, despite tacrolimus trough levels within target range. He had no symptoms of congestive heart failure or worrisome findings on physical examination, and kidney ultrasonography showed no abnormalities. The overall presentation was similar to a previous episode of an elevated creatinine level on day 34, which had resolved with hydration. Intravenous magnesium (2 g) and a 500-ml bolus of normal saline were administered over a 30-minute period to address hypomagnesemia and presumed volume depletion. The patient’s blood pressure, heart rate, and respiratory rate were all normal. Later that evening, the patient had respiratory distress and rapidly became unresponsive. Despite resuscitative efforts, he died. Autopsy revealed an enlarged heart with severe, diffuse coronary artery disease, diffuse left ventricular fibrosis, and a remote posterior infarct with a subacute ischemic extension, all of which were considered to have been caused by diabetic and ischemic cardiomyopathy (Fig. S12). There was no evidence of acute myocardial infarction, pulmonary embolism, pneumonia, inflammation in other organs, or drug toxicity. We concluded that the patient had probable sudden cardiac death caused by dysrhythmia in the context of severe ischemic cardiomyopathy. The xenograft showed focal fibrosis (attributed to sequelae of the episode of T-cell–mediated rejection) and no histologic evidence of active T-cell– or antibody-mediated rejection or thrombotic microangiopathy ; and Fig. S4G, S4H, and S4I). No porcine pathogens were detected in cultures, on nucleic acid testing, or on metagenomic assays during the clinical course. Retrospective transcriptomic analyses of biopsy samples are shown and discussed in Figure S13 and Table S4. Discussion This report documents the transplantation of a 3KO kidney xenograft with seven human transgenes into a patient with end-stage kidney disease, which built on our preclinical studies. Tegoprubart, an Fc-modified anti-CD154 monoclonal antibody in phase 2 trials for kidney allotransplantation, was part of the immunosuppressive regimen. This agent has shown potent inhibition of antibody production,as well as suppression of innate immune responses by blocking CD11b, another receptor of CD154. The pattern and timing of rejection in this patient suggested that early subtherapeutic levels of tacrolimus and mycophenolic acid may have contributed to the development of T-cell–mediated rejection, which was successfully treated with standard antirejection therapy. On biopsy, there was no evidence of antibody-mediated rejection, a common complication observed in the preclinical and decedent models of kidney xenotransplantation. Thrombotic microangiopathy has been a frequent cause of xenograft loss in previous studies in nonhuman primates. This condition can arise from incompatibilities between porcine endothelial cells and the human complement system. Therefore, we included an anti-C5 monoclonal antibody, ravulizumab, in the patient’s regimen, and no thrombotic microangiopathy was observed in the xenograft. Upon encountering T-cell–mediated rejection with C3 deposition and inflammation on biopsy, we also added pegcetacoplan to inhibit the proximal complement pathway. Our intention was to cautiously taper the use of anticomplement agents while closely monitoring for the development of thrombotic microangiopathy through protocol biopsies, as the clinical necessity for these agents remains to be fully established. Comprehensive monitoring for zoonotic pathogens was performed with the use of targeted nucleic acid testing and metagenomic sequencing. No porcine-derived pathogens were detected throughout the clinical course. Certain physiological differences between porcine and human kidney function remain to be elucidated. In studies involving nonhuman primates, porcine renin did not efficiently cleave angiotensin I from angiotensinogen, resulting in a dysfunctional renin–angiotensin–aldosterone system (RAAS). Given the incompatibility of primate antidiuretic hormone in nonhuman primates that have received xenografts, dehydration accompanied by elevated creatinine levels often develops. In our patient, blood pressure was well maintained at an average of 131/70 mm Hg, with stable plasma sodium levels and the use of diuretics to maintain euvolemia. Although reversible kidney dysfunction was observed on day 34 and improved with hydration, additional studies are needed to clarify potential differences in the hemodynamic regulation of glomerular filtration by porcine kidneys transplanted to humans. Whether this diuretic requirement in our patient stemmed from the propensity for sodium reabsorption of the porcine kidney or the patient’s preexisting heart disease (cardiorenal syndrome) is unclear and warrants further investigation in future xenotransplant recipients. In contrast with the hypercalcemia and hypophosphatemia that are observed in nonhuman primate recipients, our patient had hypocalcemia and hyperphosphatemia, findings that potentially could be attributed to the patient’s previous parathyroidectomy. Finally, although the 155-g kidney xenograft obtained from a 75-kg pig donor was relatively small for the 100-kg patient, the average creatinine level was 1.85 mg per deciliter after recovery from the rejection episode — a level that was reasonable for kidney function, given the size difference. The patient died from unanticipated, sudden cardiac causes, despite a functioning kidney xenograft. An autopsy revealed severe coronary artery disease with diffuse ventricular scarring but no evidence of acute thrombi, and we surmise that the cause of death was probably due to ventricular dysrhythmia. With such severe ischemic heart disease, the risk of sudden death from dysrhythmia remains substantial in any patient, 14 especially after a major surgical procedure. However, we cannot exclude the possibility that frequent fluctuations in intravascular volume, possibly caused by a dysfunctional RAAS in the pig kidney, may have increased the risk of cardiac dysrhythmia in a patient with severe ischemic heart disease. Despite the short observation period, this case demonstrated that a genetically modified kidney xenograft with human transgenes provided life-supporting kidney function in a living human patient. This outcome supports the feasibility of using genetically modified pig kidney xenografts to expand transplant access for patients with end-stage kidney disease. Although the identification of suitable candidates for kidney xenotransplantation is complex and debated, a small, pilot clinical trial for well-informed dialysis patients who face a high risk of dying while awaiting a human transplant may be a logical next step. Despite stable kidney function, our study patient who had undergone kidney xenotransplantation died from apparent sudden cardiac causes on day 52. The autopsy revealed severe coronary artery disease and ventricular scarring but no evidence of xenograft rejection.

测试京东医生

主任医师

京东互联网医院

452 人阅读
查看详情

文章 房颤导管消融术对脑类淋巴系统功能及认知功能的影响

以下内容来源于:Eur Heart J。 Abstract Background and Aims It remains unknown whether the brain glymphatic system, which is driven by the heartbeat-driven pulsation of arteries and is responsible for cerebral waste clearance, is impaired in atrial fibrillation (AF) and mediates cognitive dysfunction related to AF. The aim of this study was to assess brain glymphatic alterations in AF, their role in cognitive function, and whether catheter ablation can improve glymphatic activity. Methods In this case-control and prospective before–and–after study, patients with AF and healthy controls (HCs) were enrolled. Participants underwent brain magnetic resonance imaging and a comprehensive neuropsychological battery. Glymphatic activity was quantified by diffusion tensor image analysis along the perivascular space (DTI-ALPS) index. Magnetic resonance imaging was repeated after surgery in patients who underwent ablation. Results Overall, 87 patients with AF and 44 HCs were enrolled. Compared with HCs, patients with AF had a lower ALPS index (P = .016). Nonparoxysmal AF patients showed lower ALPS index than both HCs (P = .002) and paroxysmal AF patients (P = .044). A lower ALPS index was associated with worse scores of Trail Making Test, Digit Symbol Substitution Test, Digit Span Test, and Stroop Colour and Word Test (all P < .05). Mediation analyses revealed that glymphatic activity was a mediator between AF and cognitive decline. Among the 50 patients who underwent ablation therapy, DTI-ALPS index was improved after surgery (P = .015). Conclusions Brain glymphatic function measured by DTI-ALPS index was impaired in patients with AF, mediates the association between AF and cognitive decline, and was improved after ablation therapy. Structured Graphical Abstract The brain glymphatic activity is impaired in patients with atrial fibrillation (AF), correlates with cognitive function, and mediates the relationship between AF and cognitive decline. Glymphatic activity was improved after catheter ablation in patients with AF. HCs, health controls; PAF, paroxysmal AF; nPAF, nonparoxysmal AF; DTI-ALPS, diffusion tensor image analysis along the perivascular space.

测试京东医生

主任医师

京东互联网医院

456 人阅读
查看详情

文章 《手术开始》专题直播栏目互动问答

各位老师好,《手术开始》直播栏目互动问答整理如下,我们将定期更新,供您查阅。 温馨提示:每个QA已标明期数,当期内容请在栏目专区《往期回顾》查看。 【第1期】 Q1:手术机器人在手术配合上有精确的计算程序吗? A1:不用将手术机器人看得过高。机器人的确是个很好的工具,看得更清楚、机械臂也更灵活,手术医生轻松一点但最好不要对机器人产生依赖。 Q2:手术窗口期的判断很难,如何判断? A2:基于医生经验,需术前检查、肛门指诊、盆腔磁共振,必要时膀胱镜,甚至诊断性电切。主要怕侵犯直肠、膀胱输尿管,影响切除或并发症比较严重。我自己一般肿瘤不侵犯双侧输尿管,指诊没有明显黏连,就可考虑手术。 Q3:术后序贯治疗吗? A3:术后一般还是要辅助内分泌治疗1~2年。 Q4:请问专家,术后这个导尿管留置多少天比较合适? A4:术后一般保留导尿两周,我一般喜欢用f18的3腔导尿管,术后务必保持导尿通畅,如果观察严密,有条件,一般保留导尿一周就很安全。 Q5:术后常规膀胱冲洗吗? A5:术后一般不需要膀胱冲洗,必须要保证导尿通畅,如果有堵塞,可以临时冲一下。如果有出血,要加用止血药,如果有必要可以持续冲洗。一般尿色清畅的话,导尿就比较安全。 Q6:5/8线缝合有无优势? A6:使用什么针我觉得看术者的方便和熟练程度,针不要太大,不要太粗,不要太细,一般3-0可吸收线就可以了。针的弧度不重要。 【第2-3期】 Q1:术后需要服用抗凝药物吗?抗凝多长时间? A1:高凝状态像肿瘤患者、凝血因子异常、血栓史、重度肥胖、行走闲难者等及年龄超过75岁老人,这些都需要预防性抗凝。 Q2:术后需要绷带加压吗?加压多长时间? A2:偏心弹力绷带包扎3天,术后第四天起拆除绷带穿二级弹力袜2-4周,根据病情而定 Q3:硬化剂不是已经注射了吗?刚在侧枝循环的位置打的,现在是追加硬化剂吗? A3:血管鞘内注射硬化剂。未能覆盖的侧支再另打。 Q4:远端需要离断吗? A4:不需要。 Q5:老师是否有出版的静脉曲张手术书籍和配套视频? A5:可以查看我的发表文献和视频号。 Q6:术后会出现后遗症吗? A6:淤青、水肿等症状较常见。血栓、神经损伤等罕见。

测试京东医生

主任医师

京东互联网医院

444 人阅读
查看详情

文章 利用ExGRS预测不同祖源人群的高度近视

以下内容来源于: Commun Med 。 Abstract Background: High myopia (HM), characterized by a severe myopic refractive error, stands as a leading cause of visual impairment and blindness globally. HM is a multifactorial ocular disease that presents high genetic heterogeneity. Employing a genetic risk score (GRS) is useful for capturing genetic susceptibility to HM. Methods: This study assesses the effectiveness of these strategies via incorporating rare variations into the GRS assessment. This study enrolled two independent cohorts: 12,600 unrelated individuals of Han Chinese ancestry from Myopia Associated Genetics and Intervention Consortium (MAGIC) and 8682 individuals of European ancestry from UK Biobank (UKB). Results: Here, we first estimate the heritability of HM resulting in 0.53 (standard error, 0.06) in the MAGIC cohort and 0.21 (standard error, 0.10) in the UKB cohort by using whole-exome sequencing (WES) data. We generate, optimize, and validate an exome-wide genetic risk score (ExGRS) for HM prediction by combining rare risk genotypes with common variant GRS (cvGRS). ExGRS improved the AUC from 0.819 (cvGRS) to 0.856 for 1219 Han Chinese individuals of an independent testing dataset. Individuals with a top 5% ExGRS confer a 15.57-times (95% CI, 5.70-59.48) higher risk for developing HM compared to the remaining 95% of individuals in MAGIC cohort. Conclusions: Our study suggests that rare variants are a major source of the missing heritability of HM and that ExGRS provides enhanced accuracy for HM prediction in Han Chinese ancestry, shedding new light on research and clinical practice. Plain language summary High Myopia (HM) is a disease of the eyes frequently caused by one’s inherited genes. Mathematical equations can be used to predict disease risk based on a person’s genetic make-up (profile). This calculation, called a genetic risk score (GRS), doesn’t include rare genetic changes and it is challenging to consider these in the calculations. Here, we test whether combining rare genetic changes can help to predict HM risk. Our calculations not only outperformed existing methods used for HM risk, they also allow us to estimate an individual’s risk of HM, showing how important including rare genetic changes are in accurately predicting risk of this disorder. © 2024. The Author(s). PubMed Disclaimer Conflict of interest statement Competing interests: The authors declare no competing interests. Figures

测试京东医生

主任医师

京东互联网医院

492 人阅读
查看详情

文章 哺乳动物不同类型运动纤毛中轴突结构的多样性

以下内容来源于: Nature Portfolio 。 Abstract Reproduction, development and homeostasis depend on motile cilia, whose rhythmic beating is powered by a microtubule-based molecular machine called the axoneme. Although an atomic model of the axoneme is available for the alga Chlamydomonas reinhardtii 1, structures of mammalian axonemes are incomplete 1,2,3,4,5. Furthermore, we do not fully understand how molecular structures of axonemes vary across motile-ciliated cell types in the body. Here we use cryoelectron microscopy, cryoelectron tomography and proteomics to resolve the 96-nm modular repeat of axonemal doublet microtubules (DMTs) from both sperm flagella and epithelial cilia of the oviduct, brain ventricles and respiratory tract. We find that sperm DMTs are the most specialized, with epithelial cilia having only minor differences across tissues. We build a model of the mammalian sperm DMT, defining the positions and interactions of 181 proteins including 34 newly identified proteins. We elucidate the composition of radial spoke 3 and uncover binding sites of kinases associated with regeneration of ATP and regulation of ciliary motility. We discover a sperm-specific, axoneme-tethered T-complex protein ring complex (TRiC) chaperone that may contribute to construction or maintenance of the long flagella of mammalian sperm. We resolve axonemal dyneins in their prestroke states, illuminating conformational changes that occur during ciliary movement. Our results illustrate how elements of chemical and mechanical regulation are embedded within the axoneme, providing valuable resources for understanding the aetiology of ciliopathy and infertility, and exemplifying the discovery power of modern structural biology. Similar content being viewed by others In situ cryo-electron tomography reveals the asymmetric architecture of mammalian sperm axonemes Article Open access 02 January 2023 In-cell structural insight into the stability of sperm microtubule doublet Article Open access 21 November 2023 Native doublet microtubules from Tetrahymena thermophila reveal the importance of outer junction proteins Article Open access 15 April 2023 Main Motile cilia are used by unicellular and multicellular organisms either to propel themselves through fluid or to move fluid across their surfaces. Ciliary motility is driven by a microtubule-based supramolecular assembly known as the axoneme, which consists of nine doublet microtubules (DMTs) surrounding a central apparatus of two singlet microtubules. DMTs are patterned into repeating 96-nm units by two rows of dynein arms (outer dynein arms (ODAs) and inner dynein arms (IDAs)), up to three T-shaped mechanoregulatory complexes called radial spokes (RSs), the nexin–dynein regulatory complex (N-DRC) that links neighbouring DMTs and a network of coiled coils that regulates the docking and periodicity of the aforementioned complexes. In addition, the DMT lumen is extensively decorated with microtubule inner proteins (MIPs) that bind in varying multiples of the 8-nm tubulin repeat, but with an overall periodicity of 48 nm that is in coherent register with the external 96-nm repeat. Over the past 20 years, cryoelectron tomography (cryo-ET) and cryoelectron microscopy (cryo-EM) have brought our understanding of the axoneme to the molecular level, culminating in a recent atomic model of the 96-nm modular repeat from the green alga C hlamydomonas reinhardtii 1,6. However, corresponding models of mammalian axonemes are incomplete 1,2,3,4,5. For instance, the model of a human DMT from respiratory cilia 1 lacks RS3, a prominent complex present in most ciliated organisms but absent from Chlamydomonas, and does not account for many enzymes or regulatory kinases thought to be anchored to the axoneme 7. Cryo-EM and cryo-ET have also shown marked variation in axonemal subcomplexes across species and cell types 1,2,3,8,9,10,11,12. This variation reflects the diversity of ciliary form and function in nature, and even within an organism; for instance, ependymal cilia in brain ventricles drive the flow of watery cerebrospinal fluid, whereas respiratory cilia in the trachea propel viscous mucus along the airway surface. Epithelial cilia and sperm flagella have distinct waveforms 13 and vary greatly in length, ranging from a few microns in the respiratory tract to tens or even hundreds of microns in sperm. They also respond differently to mutations in proteins that they are proposed to share. However, the lack of high-resolution structures of axonemes from different mammalian cell types prevents a full understanding of how differences in individual proteins or protein complexes contribute to ciliary diversity in normal function and in disease. Comparison of epithelial and sperm DMTs To shed light on the structural diversity of axonemes across different mammalian motile-ciliated cell types, we used single-particle analysis (SPA) cryo-EM to reconstruct the native 96-nm repeat of DMTs from disintegrated axonemes of sperm flagella (Bos taurus) and epithelial cilia isolated from either the oviduct (B. taurus and Homo sapiens) or brain ventricles (Sus scrofa) (Fig. 1, Extended Data Fig. 1a–d, Supplementary Figs. 1–7, Supplementary Tables 1, 2 and Methods). Separately, we reconstructed the 96-nm repeat from intact porcine (S. scrofa) oviduct cilia using cryo-ET and subtomogram averaging, showing consistency with our SPA structures, especially near the microtubule surfaces (Extended Data Fig. 1e–g and Methods). By comparison of these reconstructions with published maps of human respiratory cilia 1, we define how the structure of the axoneme varies across motile-ciliated cell types of the mammalian body. Fig. 1: Cryo-EM reconstructions of the 96-nm axonemal repeat of motile cilia from different mammalian cell types. Each panel shows a longitudinal and cross-sectional view of a composite cryo-EM map of a 96-nm repeat unit of a doublet microtubule from bovine sperm flagella (a), bovine oviductal cilia (b), porcine brain ventricle cilia (c) and human respiratory cilia (d). The reconstruction in d is EMD-35888 (ref. 1). Each major axonemal complex is given a unique colour with the doublet microtubule in grey. IJ, inner junction; MAP, microtubule-associated protein; OJ, outer junction. Full size image Our work demonstrates that the DMTs of multiciliated epithelial cells are almost structurally indistinguishable, with differences restricted to the intraluminal tektin bundle and associated proteins RIBC1/2 (Extended Data Fig. 2). The overall similarity of epithelial DMTs reflects the similarity of epithelial cilia in general—they are all approximately 5–10 µm long, consist of an axoneme sheathed by a ciliary membrane and have similar waveform dynamics. Nevertheless, the absence of obvious structural specializations in DMTs from epithelial cilia is somewhat unexpected considering their roles in propelling liquids of very different viscosity, and the different sensitivities of tissues to ciliopathic mutations. For example, genetic ablation of the β-tubulin isotype TUBB4B causes severe loss of tracheal and oviductal cilia in mice, but has no apparent effect on the number, length or beat frequency of brain ependymal cilia 14. Our structural and proteomic data confirm that TUBB4B is the main β-tubulin isotype of pig ependymal DMTs—as it is in all motile cilia examined (Supplementary Tables 3 and 4)—suggesting that differential sensitivity to TUBB4B depletion cannot be explained solely by gross differences in DMT structure. In contrast to the relatively homogeneous structures of epithelial DMTs, direct comparison of bovine DMTs from three different tissues shows that sperm DMTs have an additional layer of complexity (Fig. 1) that extends to the MIPs that decorate the lumen of axonemal DMTs 2,3 (Extended Data Fig. 2). Our structures further show that ciliary microtubule-associated proteins (CIMAPs) bound close to the external surface of the DMT 2,15 are ubiquitous features of mammalian axonemes but have cilium-specific distribution (Extended Data Fig. 3a,b). For example, CIMAP3 is present in all mammalian axonemes hitherto studied, yet CIMAP2, which binds the same protofilament cleft, is found only in sperm (Extended Data Fig. 3b). These structural observations are supported by both proteomics (Supplementary Table 4) and expression data 16.

测试京东医生

主任医师

京东互联网医院

501 人阅读
查看详情

文章 谷固醇血症合并眶周黄色肉芽肿

以下内容来源于:NEJM 。

测试京东医生

主任医师

京东互联网医院

502 人阅读
查看详情

文章 随机临床试验:急性脑损伤患者的限制性输血策略与宽松输血策略对比

以下内容来源于:JAMA 。 Abstract Importance: Blood transfusions are commonly administered to patients with acute brain injury. The optimal hemoglobin transfusion threshold is uncertain in this patient population. Objective: To assess the impact on neurological outcome of 2 different hemoglobin thresholds to guide red blood cell transfusions in patients with acute brain injury. Design, setting, and participants: Multicenter, phase 3, parallel-group, investigator-initiated, pragmatic, open-label randomized clinical trial conducted in 72 intensive care units across 22 countries. Eligible patients had traumatic brain injury, aneurysmal subarachnoid hemorrhage, or intracerebral hemorrhage; hemoglobin values below 9 g/dL within the first 10 days after injury; and an expected intensive care unit stay of at least 72 hours. Enrollment occurred between September 1, 2017, and December 31, 2022. The last day of follow-up was June 30, 2023. Interventions: Eight hundred fifty patients were randomly assigned to undergo a liberal (transfusion triggered by hemoglobin <9 g/dL; n = 408) or a restrictive (transfusion triggered by hemoglobin <7 g/dL; n = 442) transfusion strategy over a 28-day period. Main outcomes and measures: The primary outcome was occurrence of an unfavorable neurological outcome, defined as a Glasgow Outcome Scale Extended score between 1 and 5, at 180 days following randomization. There were 14 prespecified serious adverse events, including occurrence of cerebral ischemia after randomization. Results: Among 820 patients who completed the trial (mean age, 51 years; 376 [45.9%] women), 806 had available data on the primary outcome, 393 in the liberal strategy group and 413 in the restrictive strategy group. The liberal strategy group received a median of 2 (IQR, 1-3) units of blood, and the restrictive strategy group received a median of 0 (IQR, 0-1) units of blood, with an absolute mean difference of 1.0 unit (95% CI, 0.87-1.12 units). At 180 days after randomization, 246 patients (62.6%) in the liberal strategy group had an unfavorable neurological outcome compared with 300 patients (72.6%) in the restrictive strategy group (absolute difference, -10.0% [95% CI, -16.5% to -3.6%]; adjusted relative risk, 0.86 [95% CI, 0.79-0.94]; P = .002). The effect of the transfusion thresholds on neurological outcome at 180 days was consistent across prespecified subgroups. In the liberal strategy group, 35 (8.8%) of 397 patients had at least 1 cerebral ischemic event compared with 57 (13.5%) of 423 in the restrictive strategy group (relative risk, 0.65 [95% CI, 0.44-0.97]). Conclusions and relevance: Patients with acute brain injury and anemia randomized to a liberal transfusion strategy were less likely to have an unfavorable neurological outcome than those randomized to a restrictive strategy. Trial registration: ClinicalTrials.gov Identifier: NCT02968654. PubMed Disclaimer Conflict of interest statement Conflict of Interest Disclosures: Dr Gouvêa Bogossian reported receipt of grants from Fonds National de Recherche Scientifique–Wallonie Bruxelles and a Clinical Research Award 2021 from the European Society of Intensive Care Medicine (ESICM) outside the submitted work. Dr Chabanne reported receipt of personal fees from SOPHYSA outside the submitted work and being a member of the executive committee of the Neurocritical Care and Neuro Anesthesiology French Speaking Society. No other disclosures were reported.

测试京东医生

主任医师

京东互联网医院

470 人阅读
查看详情

文章 一名九岁儿童的胸部巨大肿块病例

测试京东医生

主任医师

京东互联网医院

471 人阅读
查看详情
快速问医生
隐私保障 · 不满意可随时结束咨询 · 全程无推销
去咨询
plus免费
点击查看更多关于 COVID-19 的内容
AI医生助手

AI智能健康助手

在线服务中
24小时 24小时响应
智能诊断 智能症状分析
专业保障 专业医疗保障
扫码咨询 扫码咨询
健康小工具
×